• 0671996280
  • fredericpoirrier@orange.fr
conseils en acoustique conseils en acoustique
  • Accueil
  • Prestations
    • Acoustique des bâtiments
    • Acoustique des salles
    • Acoustique environnementale
  • Portrait
  • Matériel
  • Références
  • Biblio
  • Publications
  • Contact
  1. Accueil
  2. Publications

Publications

Depuis plusieurs années, je partage mes recherches et réflexions à travers des articles techniques consacrés à l’acoustique. Retrouvez-les ici, en libre accès.


 

 

Absorbeur électroacoustique

Absorbeur électroacoustique

Dans le cadre d’un traitement passif, pour la réduction des modes stationnaires des petits locaux, tels que les home cinémas ou les studios d’enregistrement, l’utilisation d’absorbeurs électroacoustiques est bien adaptée. Théorie et exemple pratique

Acoustique des Open Spaces

Acoustique des Open Spaces

Une publication récente de Jens Holger Rindel relative à l’optimisation de l’acoustique des espaces de travail ouverts et bureaux paysagers, traduit en français.

Lire la suite...
Acoustique des salles de répétition

Acoustique des salles de répétition

Dans ce papier en français, Jens Holger Rindel aborde l’acoustique des salles de répétition et représentation musicale.

Lire la suite...
Alpha Sabine

Alpha Sabine

Alpha Sabine, coefficient d’absorption, en champ diffus ou sous incidence normale ... quelques précisions avec démonstrations

Couplage et temps de réverbération

Couplage et temps de réverbération

Cet article présente l’incidence du couplage sur les niveaux de pression réverbérée et les temps de réverbération dans des salles doubles. D’abord en fonction de la répartition de l’absorption puis en fonction de la surface de couplage.

Découplage mécanique

Découplage mécanique

Dans ce topo, on s’intéresse aux B A BA du découplage mécanique ou de l’isolement vibratoire  en quelques équations, qui se veulent dans la mesure du possible, «simples». L’exposé finit par une "analyse mécanique" d’un plot antivibratile ACOUSTIPAD.

Dimensions optimales d'une salle musicale

Dimensions optimales d'une salle musicale

Dans cet article traduit en français, Jens Holger Rindel aborde la problématique des dimensions idéales des petites salles de pratique musicale,

Lire la suite...
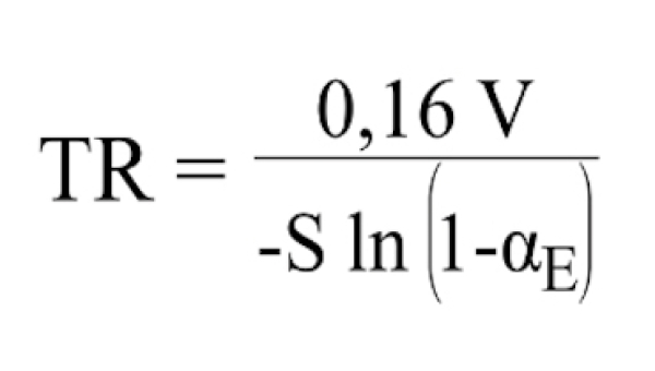
Formule d'Eyring

Formule d'Eyring

Pour l’estimation des temps de réverbération, la formule d’Eyring propose une alternative à la formule de Sabine, notamment pour les salles amorties. Explication et démonstration :

Page 1 sur 3

  • 1
  • 2
  • 3
  • Mentions légales

Bureau d'études acoustiques en Franche Comté depuis 2012

conseils en acoustique conseils en acoustique
  • Accueil
  • Prestations
    • Acoustique des bâtiments
    • Acoustique des salles
    • Acoustique environnementale
  • Portrait
  • Matériel
  • Références
  • Biblio
  • Publications
  • Contact